IADR Abstract Archives

Debris accumulation following instrumentation with asymmetric file systems

Objectives: To determine the amount of debris which accumulates in root canal spaces after instrumentation with asymmetric rotary NiTi file systems called Revo-s (Micro-Mega, France) and Protaper Next (Dentsply Switzerland) using micro-computer tomography (µCT) analysis.
Methods: Mandibular molars with consistent continuous isthmi between the mesial canals were chosen using low resolution µCT (Skyscan 1172, Bruker Micro CT, Belgium) from the Birmingham Dental School Tooth Bank (REC Ref: 14/EM/1128). Teeth were accessed using 501 diamond bur and following identification of the mesial canals a glide path was created up to size 15 in each canal. Both canals of mesial roots were instrumented by either Revo-S (n=20), Protaper Next (n=20) or Protaper Universal (Control n=19) according to the manufacturer instructions. Strict irrigation protocol was adhered to using 1ml of 5.25% aqueous sodium hypochlorite after each file. Teeth were scanned before and after instrumentation using µCT at resolution of 13.5901 µm. The acquired images were co-registered with 3D Slicer software to ensure correct alignment and processed with the ImageJ software in order to isolate debris accumulation following instrumentation. 2-sample t test was used to determine statistical differences of debris accumulation between file systems.
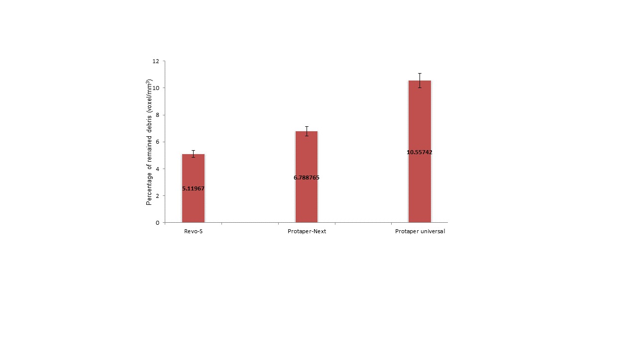
Results: Roots prepared with the Revo-S file system showed the least debris accumulation (5.1%) of all file systems tested. Both asymmetric rotary file systems showed significantly less debris accumulation compared to Protaper Universal (p< 0.05).
Conclusions: Based on this assessment, asymmetric NiTi file systems produce less debris accumulation in root canal isthmi compared to Protaper Universal.
Division: British Division Meeting
Meeting: 2015 British Division Meeting (Cardiff, United Kingdom)
Location: Cardiff, United Kingdom
Year: 2015
Final Presentation ID: 107
Abstract Category|Abstract Category(s): Dental Materials 10: Instruments and Equipment
Authors
  • Oglah, Firas  ( University of Birmingham , Birmingham , West Midlands , United Kingdom )
  • Juneja, Raj  ( University of Birmingham , Birmingham , West Midlands , United Kingdom )
  • Robinson, Jp  ( University of Birmingham , Birmingham , West Midlands , United Kingdom )
  • Cooper, Paul  ( University of Birmingham , Birmingham , West Midlands , United Kingdom )
  • Walmsley, Anathony  ( University of Birmingham , Birmingham , West Midlands , United Kingdom )
  • Tomson, Phillip  ( University of Birmingham , Birmingham , West Midlands , United Kingdom )
  • Support Funding Agency/Grant Number: Ministry of higher education and scientific research / Iraq
    Financial Interest Disclosure: NONE
    SESSION INFORMATION
    Oral Session
    Materials Science Orals
    Wednesday, 09/16/2015 , 09:00AM - 10:30AM
    IMAGES