IADR Abstract Archives

Dimensional Stability of Aquasil Ultra Compared to Alginate and Alginate-Alternatives

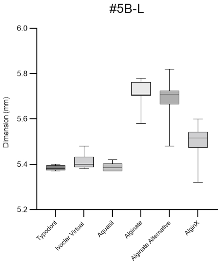
Objectives: The dimensional accuracy of dental impression material is critical for successful treatment outcomes such as indirect crown placement, provisional crowns, and diagnostic models. Here we compared the buccolingual (BL) dimensional accuracy of several common impression materials.
Methods: Five impression materials were compared in this study: Aquasil Ultra+ heavy and light body (Dentsply Sirona, Charlotte, NC), Ivoclar Vivadent Virtual 380 heavy and light body (Amherst, NY), Henry Schein Alginate Alternative (Melville, NY), AlginX (Dentsply Sirona), and Jeltrate Plus alginate (Dentsply Sirona). A notch was placed on the buccal and lingual surfaces of #5 and #13 in a typodont with a coarse 0.018 diamond chamfer bur. Fifty upper and lower full-arch impressions (n-10/group) were made in a large stock tray with adhesive. Afterwards, Resin Rock (WhipMix, Louisville, KY) models were made and measurements of #5 and #13 from buccal to lingual (BL) and #5 buccal to #13 buccal (cross-arch, or BB) were recorded with a digital caliper. One-way ANOVA and Dunnett’s post-hoc tests were used to identify differences in dimensional accuracy for each measure (#5 BL, #13 BL, #5-13BB) between the control (typodont) and Resin Rock models made from each impression material.
Results: Significant differences were found for the #5 and #13 BL measurements (p<0.0001).
Measurements obtained from impressions with Jeltrate Plus, Alginate Alternative, and AlginX were significantly different from the typodont (control) for #5. Jeltrate Plus and Alginate Alternative were significantly different from the typodont for #13. No other comparisons were significant.
Conclusions: Alginate alternative materials may have improved dimensional accuracy compared to alginate products, which is consistent with claims made by the manufacturers of products like Aquasil Ultra+. However, they may have higher BL dimension error when evaluating single teeth. This is important for restorative dentistry because practitioners should make usage decisions based on the scope of the restoration.
Division:
Meeting: 2023 AADOCR/CADR Annual Meeting (Portland, Oregon)
Location: Portland, Oregon
Year: 2023
Final Presentation ID: 0268
Abstract Category|Abstract Category(s): Dental Materials 2:Polymer-based Materials
Authors
  • Vance, Preston  ( Midwestern University , Glendale , Arizona , United States )
  • Pierre-bez, Alexandra  ( Midwestern University , Glendale , Arizona , United States )
  • Davis, Megan  ( Midwestern University , Glendale , Arizona , United States )
  • Pulido, M. Teresa  ( Midwestern University , Glendale , Arizona , United States )
  • Mitchell, John  ( Midwestern University , Glendale , Arizona , United States )
  • Financial Interest Disclosure: NONE
    SESSION INFORMATION
    Interactive Talk Session
    Dental Materials: General Properties 3
    Wednesday, 03/15/2023 , 01:30PM - 03:00PM
    IMAGES