IADR Abstract Archives

Additively Manufactured Microstructures Enhance Zirconia Bond Strength

Objectives: This study aimed to investigate the influence of surface microstructure parameters (protrusion proportion and height) combined with air particle abrasion (APA) treatment on the shear bond strength (SBS) and failure modes of zirconia-resin interfaces.
Methods: Zirconia disc specimens with irregular microstructures (protrusion proportions: 30%, 50%, 70%; heights: 50μm, 100μm) and non-textured controls were designed via 3D modeling, fabricated using a nanoparticle jetting system, and bonded to resin columns with light-cured resin cement (n=10/gp). Half of the specimens underwent APA treatment. Non-textured groups (with/without APA) served as positive and negative controls, respectively. SBS values were measured and analyzed via multiple linear regression (stepwise method, p<0.05), while failure modes were categorized.
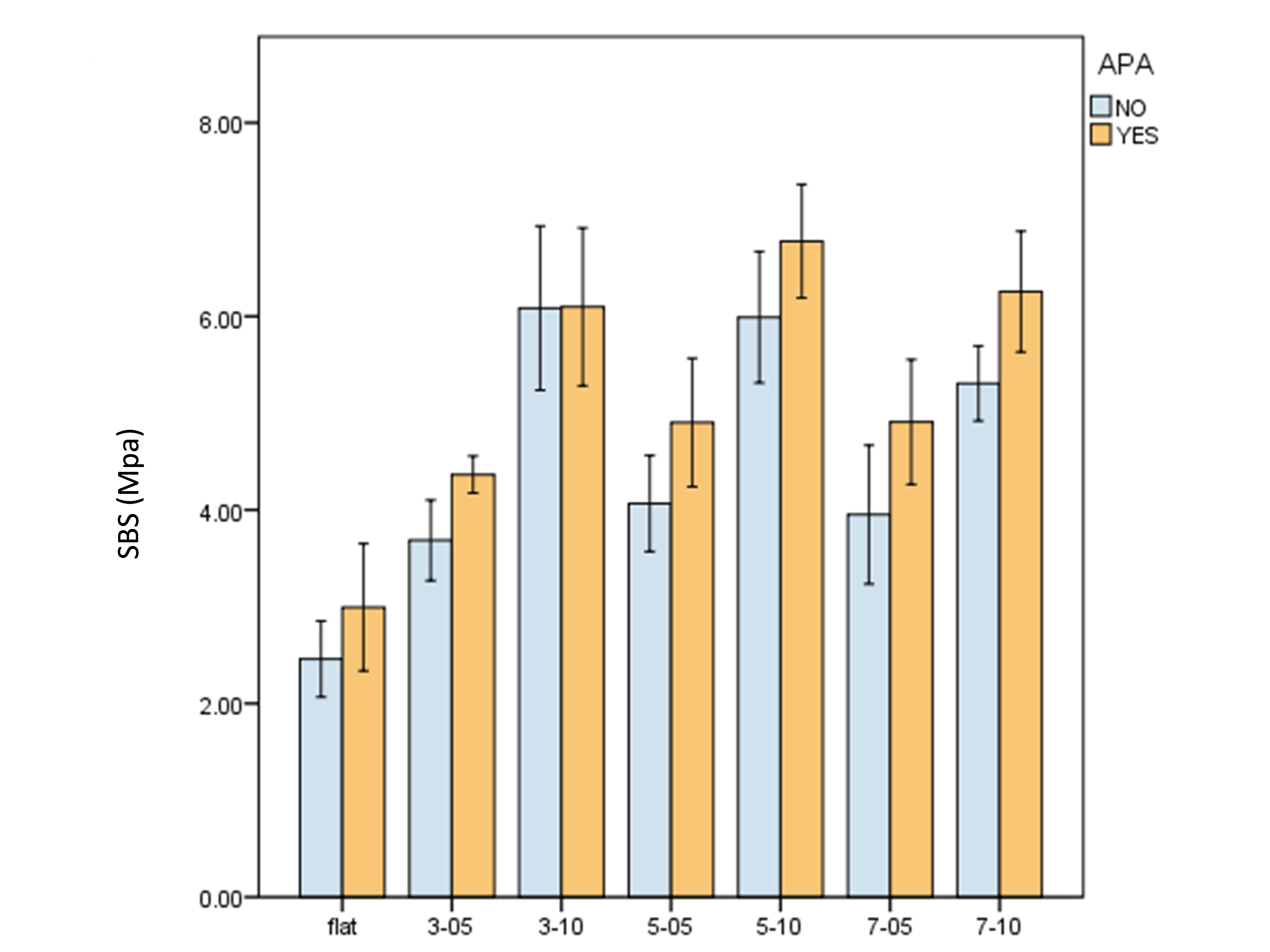
Results: All microstructured groups exhibited significantly higher SBS than controls (p<0.001), regardless of APA treatment. The 50% proportion/100μm height group with APA achieved the highest SBS (mean±SD: 6.78±0.82MPa) and the second lowest adhesive failure rate (20%). Regression analysis revealed microstructure height (βstd=0.794, p<0.001) and APA (βstd=0.226, p<0.001) as significant predictors (Radj=0.678), whereas protrusion proportion showed no effect (p=0.870). Negative controls exhibited 90% adhesive failure, while 100μm-height groups demonstrated reduced adhesive failure rates compared to positive controls.
Conclusions: Additively manufactured microstructures significantly improve zirconia-resin bond strength and reduce adhesive failure, particularly when combined with APA. Microstructure height and surface treatment are critical factors, while protrusion proportion has negligible influence. These findings provide a design basis for optimizing zirconia surface modifications in clinical applications.
Division:
Meeting: 2025 IADR/PER General Session & Exhibition (Barcelona, Spain)
Location: Barcelona, Spain
Year: 2025
Final Presentation ID: 2541
Abstract Category|Abstract Category(s): Dental Materials 4: Adhesion
Authors
  • Wang, Mengwei  ( Peking University School of Stomatology , Beijing , China )
  • Liu, Jiabao  ( Peking University School of Stomatology , Beijing , China )
  • Wang, Yiqing  ( Peking University School of Stomatology , Beijing , China )
  • Yang, Zhen  ( Peking University School of Stomatology , Beijing , China )
  • Tan, Jianguo  ( Peking University School of Stomatology , Beijing , China )
  • Chen, Li  ( Peking University School of Stomatology , Beijing , China )
  • Support Funding Agency/Grant Number: Peking University School of Stomatology (PKUSSNCT-23A08)
    Financial Interest Disclosure: NONE
    SESSION INFORMATION
    Poster Session
    Dental Materials 4: Techniques and Materials in Adhesive Dentistry
    Saturday, 06/28/2025 , 11:00AM - 12:15PM
    TABLES
    Means ± standard deviations (MPa) of shear bond strength of each group
     height 0height 50μmheight 100μm
    without APAwith APAwithout APAwith APAwithout APAwith APA
    proportion 02.46±0.552.99±0.92//
    proportion 30%/3.69±0.584.37±0.276.08±1.196.10±1.14
    proportion 50%/4.07±0.694.90±0.935.99±0.956.78±0.82
    proportion 70%/3.95±1.004.91±0.905.31±0.546.26±0.87

    IMAGES