IADR Abstract Archives

Hydroxyapatite-Containing Whitening Gel: Color Change and Effect on Root Surfaces

Objectives: This study compared tooth whitening effects of a hydroxyapatite-containing whitening gel (Diamond Serum) and a hydrogen and carbamide peroxide-containing whitening gel (Gold Serum, both from SNOW Cosmetics, LLC, Phoenix, AZ). Additionally, we used scanning electron microscopy to image etched root surfaces to look for occlusion of dentinal tubules following treatment.
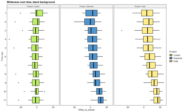
Methods: Extracted human anterior teeth were mounted in 9 gypsum arch forms (6 teeth per arch) and randomly assigned to receive 1 of 3 treatments: control (RO water), Gold Serum, or Diamond Serum. Prior to whitening treatment, root surfaces near the DEJ were etched for 20 seconds with phosphoric acid to open dentinal tubules. Baseline L*a*b* values of each tooth were measured in triplicate using a Vita Easyshade V spectrophotometer (Bad Säckingen, Baden-Wurttemberg, Germany) against black and white backgrounds. Each arch received 22 whitening treatments. Control samples were left on the benchtop for 21 minutes while Gold and Diamond samples were treated with their respective whitening gels and LEDs. Samples were stored at 100% humidity for at least one hour between treatments and following all treatments to allow rehydration. Total color change (ΔE), whiteness and yellowness index values were compared using one-way analysis variance (ANOVA) (α=0.05).
Results: ANOVA showed significant ΔE difference between baseline and final treatment by group (black background: p-value<0.0001, F=21.1; white background: p-value<0.0001,F=13.34). Post-hoc Turkey testing showed significant differences between control and both treatment groups. Repeated measures ANOVA showed significant interaction between time and treatment (control, Gold, Diamond) for both black and white backgrounds. SEM imaging demonstrated slightly higher tubule occlusion in the Diamond Serum group.
Conclusions: Both Gold and Diamond Serums produced greater ΔE than the control group but were similar to each other. Control groups did not exhibit much change in yellowness and whiteness but the gold and diamond groups but exhibited change in these variables.
Division:
Meeting: 2024 IADR/AADOCR/CADR General Session (New Orleans, Louisiana)
Location: New Orleans, Louisiana
Year: 2024
Final Presentation ID: 0753
Abstract Category|Abstract Category(s): SCADA
Authors
  • Jaafar, Rand  ( Midwestern University , Glendale , Arizona , United States )
  • Pierre-bez, Alexandra  ( Midwestern University , Glendale , Arizona , United States )
  • Quaempts, Kyler  ( Midwestern University , Glendale , Arizona , United States )
  • Agostini-walesch, Gina  ( Midwestern University , Glendale , Arizona , United States )
  • Mitchell, John  ( Midwestern University , Glendale , Arizona , United States )
  • Financial Interest Disclosure: NONE
    SESSION INFORMATION
    Poster Session
    SCADA: Basic and Translational Science Research
    Thursday, 03/14/2024 , 11:00AM - 12:15PM
    IMAGES