IADR Abstract Archives

Factors Influencing Dental Shade Matching and Value Discrimination

Objectives: To determine if Farnsworth-Munsell 100 Hue Test (FM-100), Perceptual Ability Test (PAT), ethnicity, age, sex, and time predict dental shade matching ability and value discernment in first-year dental students.
Methods: FM-100, Value and Matching tests were administered to 98 first-year dental students beneath a Judge II booth (color temperature=6500°K, color rendering index=90). Value Test consisted of arranging lightest to darkest five masked shade tabs from a Vita 3D Master shade guide (3D), and six masked shade tabs from the Vita Classic shade guide (VC). Matching Test consisted of matching together five masked pairs of shade tabs from V3 and VC shade guides. Ethnicity (White, African American, Hispanic, Middle Eastern, and Asian), age, PAT scores, sex, and time to complete tests were recorded. Data was analyzed using ANOVA and linear regression (p=0.05).
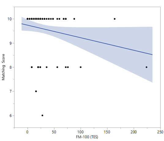
Results: Test results are illustrated in tables 1 and 2. FM-100 total error scores (TES) ranged from 0-244. Forty-one students had superior color discrimination (TES 0-16) of which seven had TES=0. Fifty-five students had average discrimination (TES 20-100), and two had poor color discrimination (TES>100). Ethnicity and age did not affect performance on any tests (p>0.05). However, increased time to complete FM-100 test resulted in lower TES (p=0.0006). Sex did affect the Value and Matching tests with males performing better (p=0.0031) in the Value test, but females performed better in the Matching test (p=0.0354). Females and males performed similarly in value discernment using the 3D shade guide compared to the VC shade guide. As PAT scores increased there was a trend to have lower FM-100 scores (p=0.2089). See Figure 1. Individuals with better color discrimination generally performed better on Matching tests (p=0.0651). See Figure 2.
Conclusions: Females are better at dental shade matching than males, but males are better at discerning value. PAT and FM-100 are weak predictors of dental shade matching.
Division: IADR/AADR/CADR General Session
Meeting: 2020 IADR/AADR/CADR General Session (Washington, D.C., USA)
Location: Washington, D.C., USA
Year: 2020
Final Presentation ID: 1365
Abstract Category|Abstract Category(s): Dental Materials 7: Color and Appearance (Esthetics)
Authors
  • Seekford, Karoline  ( UTHSA School of Dentistry , San Antonio , Texas , United States )
  • Imbery, Terence  ( Virginia Commonwealth University , Richmond , Virginia , United States )
  • Hankle, Jennifer  ( Virginia Commonwealth University , Richmond , Virginia , United States )
  • Baechle, Mary  ( Virginia Commonwealth University , Richmond , Virginia , United States )
  • Janus, Charles  ( Virginia Commonwealth University , Richmond , Virginia , United States )
  • Financial Interest Disclosure: NONE
    SESSION INFORMATION
    Poster Session
    Color & Appearance (Esthetics) I
    TABLES
    Table 1
    TestMeanSDRange
    PAT20.12.3615-16
    FM-100 (TES)28.532.190-244
    Value Test 3D4.90.483-5
    Value Test VC3.90.953-6
    Matching Test 3D4.80.553-5
    Matching Test VC4.70.732-5

    Table 2
    TestFemaleMaleP Value
    PAT19.820.50.1322
    FM100 (TES)27.130.20.7748
    Value Test 3D4.94.90.8842
    Value Test VC3.64.20.0031
    Matching Test 3D4.94.70.0987
    Matching Test VC4.94.60.0354

    IMAGES