IADR Abstract Archives

3D-Accuracy of Virtual Model Articulation in Laboratory Scanner-CAD Systems

Objectives: Accurate maxilla-mandibular relationship transfer is important for CAD/CAM prostheses. This study compared the 3D-accuracy of virtual model articulation in three laboratory scanner-CAD systems: Ceramill® Map400(AG), inEosX5(SIR), Scanner S600 Arti(ZKN) using two virtual articulation methods: mounted models (MO), inter-occlusal record (IR).
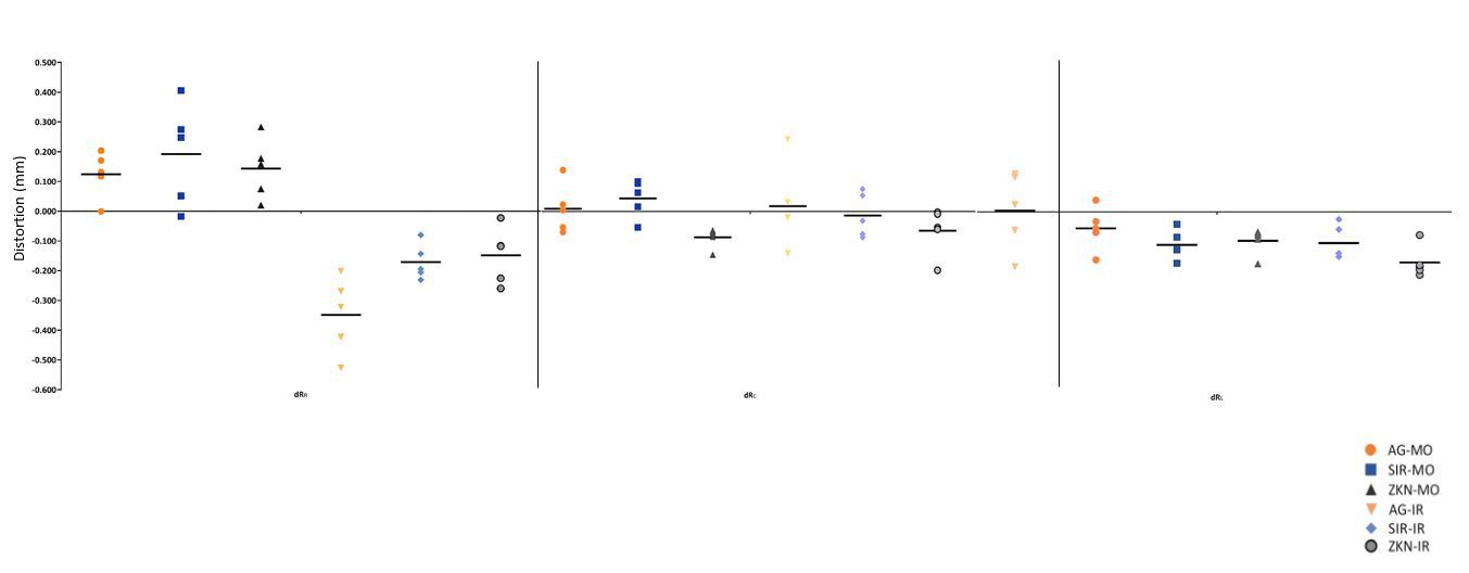
Methods: The master model simulated a single crown opposing a 3-unit bridge. Reference values were obtained by measuring inter-arch and inter-occlusal reference targets with a coordinate measuring machine(CMM). MO group stone casts were articulator-mounted with pattern-resin bite registrations while IR group casts were hand-articulated with vinyl polysiloxane bite registrations. 5 test model sets were scanned and articulated virtually with each system (6 test groups, n=5). STL files of the virtual models were measured with CMM software. dRR, dRC, dRL, represented inter-arch global distortions at right, central and left sides respectively, while dRM, dXM, dYM, dZM represented inter-occlusal global and linear distortions between preparations.
Results: Mean inter-arch 3D distortion ranged from -348.7 to 192.2µm for dRR, -86.3 to 441.0µm for dRC and -168.1 to 4.4µm for dRL. Mean inter-occlusal distortion ranged from -257.2 to -85.2µm for dRM, -285.7 to 183.9µm for dXM, -100.5 to 114.8µm for dYM and -269.1 to -50.6µm for dZM. ANOVA showed that Articulation Method had significant effect on dRR and dXM, while System had significant effect on dRR, dRC, dRL, dRM and dZM. There were significant differences between 6 test groups for dRR, dRL dXM and dZM. dRR and dXM were significantly greater in AG-IR and this was significantly different from SIR-IR, ZKN-IR and all MO groups.
Conclusions: Inter-arch and inter-occlusal distances increased in MO groups while these decreased in IR groups. AG-IR had the greatest inter-arch distortion as well as inter-occlusal superior-inferior distortion. The other groups performed similarly to each other. In these systems and articulation-methods, inter-occlusal distortions may result in hyper- or infra-occluded prostheses.
Division: IADR/AADR/CADR General Session
Meeting: 2017 IADR/AADR/CADR General Session (San Francisco, California)
Location: San Francisco, California
Year: 2017
Final Presentation ID: 0133
Abstract Category|Abstract Category(s): Prosthodontics Research
Authors
  • Yee, Sophia  ( Alexandra Health , Singapore , Singapore ;  National University of Singapore , Singapore , Singapore )
  • Esguerra, Roxanna  ( National University of Singapore , Singapore , Singapore )
  • Chew, Amelia  ( National Dental Center Singapore , Singapore , Singapore )
  • Wong, Keng Mun  ( T32 Dental Center , Singapore , Singapore )
  • Tan, Keson  ( National University of Singapore , Singapore , Singapore )
  • Support Funding Agency/Grant Number: National University of Singapore R-221-000-056-112
    Financial Interest Disclosure: NONE
    SESSION INFORMATION
    Oral Session
    Dental CAD/CAM Materials: Properties and Behavior Under Stress
    Wednesday, 03/22/2017 , 08:30AM - 10:00AM
    TABLES
    Mean global and linear distortions for all six test groups, µm (SD in parentheses)
    GroupsdRRdRCdRLdRMdXMdYMdZM
    AG-MO124.2 (77.6)9.2 (82.2)-55.1 (71.6)-179.2 (65.2)183.9 (62.3)-32.9 (177.6)-269.1 (95.6)
    SIR-MO192.2 (172.6)441.0 (63.8)-109.3 (49.0)-143.6 (10.3)159.5 (108.9)-53.3 (160.9)-216.0 (106.6)
    ZKN-MO153.1 (118.4)-86.3 (33.5)-95.9 (43.5)-85.2 (36.5)76.7 (66.2)-100.5 (124.3)-109.5 (64.7)
    AG-IR-348.7 (127.8)18.1 (140.0)4.4 (130.0)257.2 (158.8)-285.7 (104.9)114.8 (397.8)-203.4 (186.0)
    SIR-IR-170.8 (60.0)-12.8 (74.0)-103.5 (58.0)-145.0 (70.7)-105.3 (63.6)-35.3 (48.8)-115.5 (68.1)
    ZKN-IR148.4 (95.0)-64.2 (78.7)-168.1 (52.4)-99.2 (46.8)-139.2 (55.3)-59.2 (82.6)-50.6 (57.3)

    IMAGES