IADR Abstract Archives

Lip Closure Force and Tongue Muscle Strength for Japanese

Objectives: Lip incompetence in conjunction with hypotonicity of the tongue during sleep may amplify the odds of upper airway narrowing and collapsibility. This study compared the lip closure force (LCF) and tongue muscle strength (TUF) of healthy individuals with those of obstructive sleep apnea (OSA) patients, examined the relationship between these forces and the apneic-hypopneic index (AHI)/ oxygen saturation (SpO2) and determined the relationship between LCF and TUF in both groups.
Methods: 160 healthy subjects and 72 OSA outpatients were recruited. The LCF (maximum and minimum) and TUF were measured and their mean differences compared. Correlations were performed for maximal LCF (LCFmax) and minimal LCF (LCFmin) with TUF.
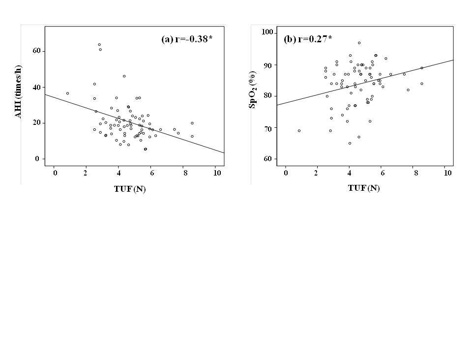
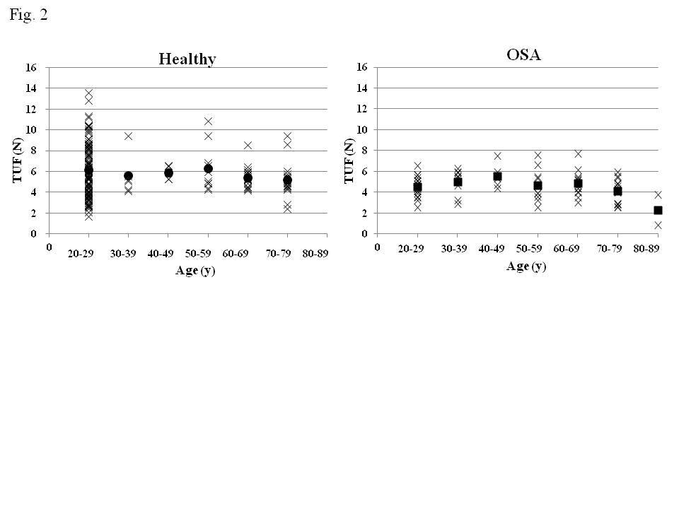
Results: The LCF and TUF showed stability across adulthood. The LCFmax (6.12 ± 1.39N) and LCFmin (4.21 ± 1.57 N) were significantly lower in OSA patients than in healthy subjects (7.42 ± 2.22 and 5.12 ± 1.76 N respectively). Likewise, the TUF was significantly lower in OSA patients (4.69 ± 1.42 N) compared to healthy subjects (5.89 ± 2.31 N). In the patient group, TUF, but not LCF, correlated negatively with AHI (r=-0.38, p<0.001) and positively with SpO2 (r=0.27, p=0.02). Large significant correlations were found for LCFmax, LCFmin with TUF (r=0.65, p<0.001; 0.54, p<0.001 respectively) for healthy subjects, whereas small but significant correlation between LCFmax and TUF (r=0.27, p=0.02) only was found for OSA patients.
Conclusions: OSA patients displayed a significantly lower LCF and TUF than healthy subjects, with stability of these indices across adulthood. Low TUF predicted an increased risk of development of sleep apnea. The LCF and TUF correlational data suggest that a functional relationship exists, where the lip closure force predicts tongue muscle strength. However, this prediction was diminished in OSA patients. Future investigations are needed to determine the factors that lower LCF and TUF in OSA patients and potential therapeutic manipulations.
Division: IADR/AADR/CADR General Session
Meeting: 2017 IADR/AADR/CADR General Session (San Francisco, California)
Location: San Francisco, California
Year: 2017
Final Presentation ID: 2502
Abstract Category|Abstract Category(s): Craniofacial Biology Research
Authors
  • Suzuki, Hiroshi  ( Nihon University School of Dentistry at Matsudo , Matsudo , Chiba , Japan )
  • Iwata, Yoshihiro  ( Nihon University School of Dentistry at Matsudo , Matsudo , Chiba , Japan )
  • Taga, Hitoshi  ( JR Tokyo General Hospital , Tokyo , Japan )
  • Kuroki, Toshikazu  ( Nihon University School of Dentistry at Matsudo , Chiba , Matsudo , Japan )
  • Kawara, Misao  ( Nihon University School of Dentistry at Matsudo , Matsudo , Chiba , Japan )
  • Financial Interest Disclosure: NONE
    SESSION INFORMATION
    Poster Session
    TMD and Imaging Studies
    Friday, 03/24/2017 , 03:45PM - 05:00PM
    IMAGES